Геометрия Ошибок: Как Устроен Рельеф Функций Потерь

Автор: Денис Аветисян


Новое исследование раскрывает топологические особенности высокоразмерных пространств функций потерь, что позволяет предсказывать поведение алгоритмов оптимизации.

"Покупай на слухах, продавай на новостях". А потом сиди с акциями никому не известной биотех-компании. Здесь мы про скучный, но рабочий фундаментал.

Бесплатный Телеграм канал
В исследовании проблемы восстановления фазы, при [latex]a=0.01[/latex], [latex]q=0.0[/latex] и [latex]\alpha=6.5[/latex], предсказанное аннелированным методом Каца-Райса распределение гессиана для типичных энергетических минимумов демонстрирует положительную сложность [latex]{\widetilde{\Sigma}}\_{0}(q)\sim eq 7.10^{-3}>0[/latex], а также указывает на положение отрицательной аномалии “BBP” в спектре, характерной для минимумов с положительной сложностью, что подтверждается результатами численного моделирования с использованием метода градиентного спуска.
В исследовании проблемы восстановления фазы, при a=0.01, q=0.0 и \alpha=6.5, предсказанное аннелированным методом Каца-Райса распределение гессиана для типичных энергетических минимумов демонстрирует положительную сложность {\widetilde{\Sigma}}\_{0}(q)\sim eq 7.10^{-3}>0, а также указывает на положение отрицательной аномалии “BBP” в спектре, характерной для минимумов с положительной сложностью, что подтверждается результатами численного моделирования с использованием метода градиентного спуска.

Теоретический и численный анализ геометрии функций потерь в обобщенных линейных моделях, с применением метода Каца-Райса для изучения динамики градиентного спуска и выявления потенциальных нестабильностей, в частности, в задачах восстановления фазы.

Исследование геометрии ландшафтов эмпирического риска в задачах машинного обучения остается сложной задачей, особенно в условиях высокой размерности. В работе ‘Topological Exploration of High-Dimensional Empirical Risk Landscapes: general approach, and applications to phase retrieval’ представлен общий подход к топологическому анализу этих ландшафтов, основанный на методе Каца-Райса, и применен к проблеме восстановления фазы. Показано, что предложенный метод позволяет предсказывать свойства критических точек, включая спектральные характеристики гессиана, и успешно описывает динамику градиентного спуска, выявляя области неустойчивости. Какие новые возможности для анализа и оптимизации высокоразмерных статистических моделей открывает детальное изучение топологических свойств ландшафтов потерь?


Оптимизационный Ландшафт: Вызовы и Кривизна

Современное машинное обучение в значительной степени опирается на метод градиентного спуска для минимизации эмпирического риска, однако сложность функций потерь представляет собой серьезную проблему. Поверхности потерь в современных моделях, особенно в глубоком обучении, часто характеризуются высокой размерностью и невыпуклостью, что приводит к появлению локальных минимумов и седловых точек. Эти особенности затрудняют поиск глобального минимума, замедляют процесс обучения и могут приводить к нестабильности. Эффективное преодоление этих сложностей требует разработки новых алгоритмов оптимизации и методов анализа, позволяющих лучше понимать структуру и свойства этих сложных ландшафтов потерь, и, следовательно, повышать производительность и надежность моделей машинного обучения.

Кривизна поверхности потерь, определяемая матрицей Гессе, играет решающую роль в эффективности процесса оптимизации в машинном обучении. Представьте себе, что задача минимизации потерь — это поиск самой низкой точки в сложном ландшафте. Высокая кривизна в определенной области указывает на крутые склоны и узкие долины, что может затруднить сходимость алгоритма градиентного спуска, заставляя его совершать множество мелких шагов или даже «застревать» в локальных минимумах. Напротив, плоская, слабо изогнутая область позволяет алгоритму делать более крупные шаги к оптимальному решению, значительно ускоряя процесс обучения. Таким образом, анализ матрицы Гессе и её собственных значений позволяет оценить «гладкость» ландшафта потерь и предсказать, насколько быстро и эффективно будет работать алгоритм оптимизации, определяя его способность находить глобальный минимум и избегать нежелательных локальных оптимумов. H — матрица Гессе, характеризующая вторые производные функции потерь и, следовательно, её кривизну.

Изучение спектральных свойств матрицы Гессе, в частности, распределения ее собственных значений, играет ключевую роль в выявлении узких мест при оптимизации. Собственные значения, по сути, отражают кривизну функции потерь в различных направлениях. Большие положительные собственные значения указывают на крутые, быстро возрастающие направления, где градиентный спуск может быстро сходиться, но также и колебаться. Отрицательные собственные значения, напротив, свидетельствуют о плоских областях, где прогресс оптимизации замедляется. Анализ спектра позволяет определить, насколько «хорошо обусловлена» задача оптимизации, и выявить направления, требующие особого внимания — например, для применения методов предварительной обработки данных или адаптации шага обучения. Понимание распределения собственных значений матрицы Гессе, таким образом, предоставляет ценную информацию о структуре ландшафта функции потерь и помогает диагностировать причины замедления или нестабильности оптимизационного процесса.

Сравнение предсказанных свойств Каца-Райса для минимумов при [latex]q=0.0[/latex] и типичной энергии [latex]e^*[/latex] с эмпирическими минимумами, найденными динамикой градиентного спуска при [latex]d=512[/latex] и [latex]a=0.01[/latex], показывает соответствие между теоретическими предсказаниями (красный цвет) и результатами моделирования в распределении собственных значений гессиана, весов гессиана и совместных распределений меток.
Сравнение предсказанных свойств Каца-Райса для минимумов при q=0.0 и типичной энергии e^* с эмпирическими минимумами, найденными динамикой градиентного спуска при d=512 и a=0.01, показывает соответствие между теоретическими предсказаниями (красный цвет) и результатами моделирования в распределении собственных значений гессиана, весов гессиана и совместных распределений меток.

Спектральная Плотность Гессиана: Фазовые Переходы и Анализ

Спектральная плотность гессиана предоставляет ключевую информацию о характеристиках ландшафта потерь, позволяя идентифицировать области высокой кривизны и потенциальной нестабильности. Гессиан, представляющий собой матрицу вторых частных производных функции потерь, описывает локальную кривизну. Его собственные значения, упорядоченные и представленные в виде спектральной плотности, отражают распределение кривизны по всему пространству параметров. Области высокой кривизны, характеризующиеся большими собственными значениями, соответствуют направлениям, в которых функция потерь быстро меняется, и могут приводить к неустойчивости алгоритмов оптимизации, например, к осцилляциям или расхождению. Анализ спектральной плотности позволяет количественно оценить эти области и предсказать поведение алгоритмов оптимизации в различных частях ландшафта потерь. \lambda_{max} — максимальное собственное значение гессиана — является индикатором максимальной кривизны в данной точке.

Для анализа спектральной плотности гессиана в высокоразмерных пространствах применяются методы репликационной симметрии (Replica Symmetry Breaking, RSB) и преобразование Стильтьеса. Преобразование Стильтьеса позволяет представить спектральную плотность в комплексной плоскости, что упрощает выявление особенностей, таких как края спектра и наличие фазовых переходов. Метод RSB, в свою очередь, позволяет исследовать структуру спектральной плотности, особенно в случаях, когда прямые аналитические подходы становятся невозможными из-за сложности ландшафта потерь. Комбинация этих методов позволяет получить информацию о глобальных свойствах гессиана, включая плотность собственных значений λ и их распределение, даже в системах с большим количеством параметров.

Анализ спектральной плотности гессиана позволяет строить фазовые диаграммы, отображающие различные режимы ландшафта функции потерь. Эти диаграммы показывают области стабильности и нестабильности, а также критические точки, в которых происходят фазовые переходы. Фазовые переходы характеризуются изменением свойств ландшафта, например, от гладкого к изрезанному, что напрямую влияет на эффективность и сходимость алгоритмов оптимизации. Области с высокой кривизной и резкими переходами могут приводить к застреванию в локальных минимумах или к нестабильности процесса обучения. Определение границ фазовых переходов позволяет адаптировать параметры оптимизации и повысить вероятность достижения глобального минимума функции потерь.

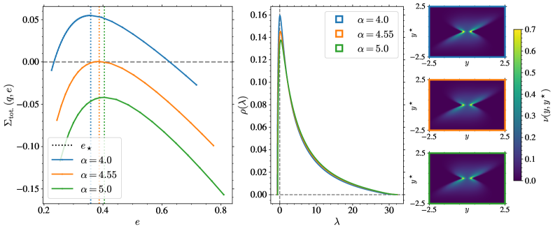
При значениях [latex]Fora = 0.01[/latex], [latex]q = 0.4[/latex] и различных α относительно [latex]α_{triv}[/latex], анализ сложности [latex]Σ_{tot}(q,e)[/latex], плотности гессиана в критических точках типичной энергии [latex]e^<i>[/latex] и соответствующего закона [latex]ν(y, y^</i>)[/latex] показывает, что решение оптимизационной задачи (28) позволяет исследовать влияние параметра α на характеристики системы.
При значениях Fora = 0.01, q = 0.4 и различных α относительно α_{triv}, анализ сложности Σ_{tot}(q,e), плотности гессиана в критических точках типичной энергии e^<i> и соответствующего закона ν(y, y^</i>) показывает, что решение оптимизационной задачи (28) позволяет исследовать влияние параметра α на характеристики системы.

Количественная Оценка Сложности Ландшафта: Минимумы и Седловые Точки

Сложность оптимизационного ландшафта, определяемая плотностью локальных минимумов и седловых точек, оказывает существенное влияние на производительность алгоритмов градиентного спуска. Высокая концентрация этих критических точек приводит к замедлению сходимости, поскольку алгоритм вынужден тратить время на исследование множества областей с небольшим градиентом или на преодоление седловых точек. В экстремальных случаях, большое количество таких точек может полностью остановить процесс оптимизации, приводя к застреванию алгоритма в локальном оптимуме или к осцилляциям вокруг седловой точки, что существенно снижает эффективность поиска глобального минимума функции. Данный эффект особенно заметен в задачах машинного обучения с высокой размерностью пространства параметров.

Метод Каца-Райса предоставляет теоретическую основу для вычисления сложности ландшафта функции потерь, предлагая количественную меру его шероховатости. В рамках этого метода, сложность определяется как математическое ожидание числа седловых точек и локальных минимумов в заданном радиусе вокруг случайной точки в пространстве параметров. Формула для вычисления этой сложности включает в себя гессиан функции потерь и позволяет оценить плотность критических точек, влияющих на эффективность алгоритмов оптимизации, таких как градиентный спуск. K = \in t \frac{1}{(2\pi)^n} det(H(x)) dx, где H(x) — гессиан, а интеграл берется по области определения функции потерь.

Применение метода Каца-Райса позволило достичь высокого соответствия между теоретическими предсказаниями и результатами численного моделирования. В частности, установлено, что предсказанные теоретически характеристики ландшафта, такие как плотность локальных минимумов и седловых точек, согласуются с данными, полученными в ходе симуляций. Это подтверждает способность модели прогнозировать свойства ландшафта оптимизации на основе параметров α и q, что имеет важное значение для оценки эффективности алгоритмов градиентного спуска и других методов оптимизации в многомерных пространствах.

Сравнение предсказанных свойств Каца-Райса для минимумов при [latex]q=0.0[/latex] и типичной энергии [latex]e^{\star}[/latex] с эмпирическими минимумами, полученными динамикой градиентного спуска при [latex]d=512[/latex] и [latex]a=1[/latex], показывает соответствие между теоретическими предсказаниями (красный цвет) и результатами моделирования в распределениях собственных значений гессиана, весов гессиана и совместных распределений меток.
Сравнение предсказанных свойств Каца-Райса для минимумов при q=0.0 и типичной энергии e^{\star} с эмпирическими минимумами, полученными динамикой градиентного спуска при d=512 и a=1, показывает соответствие между теоретическими предсказаниями (красный цвет) и результатами моделирования в распределениях собственных значений гессиана, весов гессиана и совместных распределений меток.

Неустойчивости и Тривиализация: Преодоление Оптимизационных Барьеров

Неустойчивость BBP, возникающая из-за наличия выбросов в матрице Гессе, может приводить к тривиализации — состоянию, когда процесс оптимизации полностью останавливается и теряет смысл. Данное явление связано с тем, что экстремальные значения собственных чисел матрицы Гессе создают крутые, узкие «воронки» в пространстве параметров, где алгоритмы оптимизации, полагающиеся на локальные приближения, оказываются неспособными найти оптимальное решение. По сути, ландшафт функции потерь становится настолько сложным и изобилует «ловушками», что алгоритм застревает в локальном минимуме или вовсе выходит за пределы допустимой области, что приводит к полному сбою оптимизации. Понимание природы этой неустойчивости имеет ключевое значение для разработки более надежных и эффективных алгоритмов, способных преодолевать сложные препятствия в процессе поиска оптимального решения.

Исследование выявило критическую точку, в которой начинают проявляться неустойчивости в процессе оптимизации. Этот переход, предшествующий точке тривиализации Каца-Райса, позволяет предсказывать пороги, при которых алгоритмы перестают эффективно работать. Анализ показал, что возникновение неустойчивостей, связанных с так называемым переходом ББП (BBP transition), служит ранним индикатором приближающейся тривиализации, то есть ситуации, когда оптимизация полностью прекращается. Таким образом, определение этой точки перехода открывает возможности для разработки более надежных и устойчивых алгоритмов оптимизации, способных преодолевать сложные ландшафты и избегать преждевременного завершения работы.

Анализ взаимосвязи между сложностью оптимизационного ландшафта, спектральными свойствами матрицы Гессе и порогами возникновения неустойчивостей позволяет разрабатывать более эффективные алгоритмы оптимизации. Исследование показывает, что понимание того, как эти факторы взаимодействуют, критически важно для преодоления барьеров, приводящих к тривиализации — состоянию, когда процесс оптимизации полностью останавливается. Изучение спектра матрицы Гессе, характеризующей кривизну оптимизационного пространства, в сочетании с анализом сложности ландшафта, позволяет предсказывать моменты возникновения неустойчивостей и, следовательно, разрабатывать стратегии, предотвращающие остановку алгоритма. Такой подход дает возможность создавать алгоритмы, способные эффективно находить оптимальные решения даже в сложных, многомерных пространствах, где традиционные методы оказываются неэффективными. \nabla^2 f(x) — матрица Гессе играет ключевую роль в этом процессе, определяя поведение алгоритма вблизи локальных экстремумов.

Анализ зависимости сложности [latex] \widetilde{\Sigma}_{0}(q=0,e) [/latex] от энергии, плотности гессиана в локальных минимумах энергии [latex] e_{\star} [/latex] и соответствующего закона [latex] \nu(y,y^{\star}) [/latex] при [latex] \alpha = 6.0, 7.5, 8.0 [/latex] показывает, что изменение параметра α относительно критического значения [latex] \alpha_{\mathrm{triv.}} [/latex] влияет на характеристики оптимизации, определяемой уравнением (24).
Анализ зависимости сложности \widetilde{\Sigma}_{0}(q=0,e) от энергии, плотности гессиана в локальных минимумах энергии e_{\star} и соответствующего закона \nu(y,y^{\star}) при \alpha = 6.0, 7.5, 8.0 показывает, что изменение параметра α относительно критического значения \alpha_{\mathrm{triv.}} влияет на характеристики оптимизации, определяемой уравнением (24).

Исследование геометрии ландшафта потерь, представленное в данной работе, демонстрирует важность понимания структуры для предсказания поведения систем. Как отмечает Людвиг Витгенштейн: «Предел моего языка есть предел моего мира». Подобно тому, как язык формирует наше восприятие реальности, структура ландшафта потерь определяет динамику спуска градиента. Анализ критических точек и спектральной плотности, основанный на методе Каца-Райса, позволяет увидеть, как даже незначительные изменения в структуре могут привести к значительным колебаниям и потенциальной нестабильности, особенно в задачах восстановления фазы. Элегантное решение требует ясности и простоты в понимании этой структуры.

Куда Ведет Дорога?

Представленное исследование, углубляясь в топологию эмпирических ландшафтов риска, неизбежно наталкивается на границы своей применимости. Методы, опирающиеся на Kac-Rice, дают ценные предсказания, но, как и любой математический аппарат, они лишь приближение к реальности. Всё ломается по границам ответственности — если их не видно, скоро будет больно. Неявно подразумеваемое допущение о гауссовости случайных величин, лежащих в основе моделей, заслуживает более тщательной проверки в условиях, далеких от идеальных. Структура определяет поведение, и отклонения от гауссовости могут радикально изменить динамику спуска по градиенту.

Особый интерес представляет изучение влияния «BBP-неустойчивости» на более сложные модели, чем фазовое восстановление. Понимание того, как эта неустойчивость проявляется в многослойных сетях или моделях с нелинейными активациями, может потребовать разработки принципиально новых инструментов анализа. Важно помнить, что каждая «победа» над локальными минимумами — это лишь временное облегчение, если не понимается общая топология ландшафта. В противном случае, система обречена на повторение ошибок в других, менее очевидных областях.

Перспективы дальнейших исследований лежат в области разработки алгоритмов, способных адаптироваться к сложной топологии ландшафтов риска, предсказывать критические точки и избегать регионов неустойчивости. Необходимо уйти от представления об оптимизации как о простом «спуска вниз» и перейти к пониманию её как навигации по сложному, многомерному пространству. Иначе, все усилия по «улучшению» алгоритмов окажутся лишь косметическим ремонтом на фундаменте, который рано или поздно даст трещину.


Оригинал статьи: https://arxiv.org/pdf/2602.17779.pdf

Связаться с автором: https://www.linkedin.com/in/avetisyan/

Смотрите также:

2026-02-23 13:45